
他汀類藥物又稱為羥甲基戊二酰輔酶A(HMG-CoA)還原酶抑制劑,自1987年第1個他汀類藥物洛伐他汀獲FDA批準上市后,辛伐他汀、氟伐他汀、普伐他汀、阿伐他汀、瑞舒伐他汀、匹伐他汀等一系列他汀類藥物相繼問世。
由于他汀類藥物除了其良好的降脂作用外,還具有抗炎、改善血管內皮、穩定粥樣硬化斑塊等非降脂作用,目前臨床上廣泛應用于動脈粥樣硬化性心血管疾病。
其中,阿托伐他汀40~80mg、瑞舒伐他汀20mg被認為是高強度他汀(每日劑量可降低LDL-C≥50%)。那么兩藥之間有何區別呢?
1、理化性質
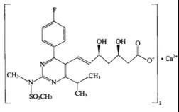
他汀類藥物的結構可分為3個部分:
A部分,一個與酶的底物HMG-CoA中HMG結構類似的β-δ二羥基戊酸結構,是發揮抑制活性的必需基團;
B部分,一個與酶變構后產生的憎水性淺溝相結合的憎水性剛性平面結構;
C部分,上述二者之間的連接部分,見圖1。

阿托伐他汀和瑞舒伐他汀都屬于人工合成他汀類藥物;因結構差異,親水/親脂性不同,阿托伐他汀屬親脂性,瑞舒伐他汀因結構引入甲磺酰胺基,具有較強的親水性,屬親水性;兩藥市售藥品均制成鈣鹽。

阿托伐他汀化學結構

瑞舒伐他汀鈣化學結構
2、用量及降脂強度
阿托伐他汀常用起始劑量是一次10mg,一日一次,劑量調整間隔時間為4周或更長,最大日劑量為80mg,但阿托伐他汀80mg國人經驗不足,需謹慎使用。
瑞舒伐他汀常用起始劑量是一次5~10mg,一日一次,每4~6周檢查血脂后逐漸調整劑量;因腎毒性、人種差異與藥效、不良反應等相關,FDA批準瑞舒伐他汀最大日劑量為40 mg,而CFDA批準其最大日劑量為20mg。
瑞舒伐他汀為氨基嘧啶類衍生物類HMG-CoA還原酶抑制劑,比阿托伐他汀降脂作用強,且抑制時間較長。兩藥不同劑量降低LDL-C幅度如下表1。
表1 阿托伐他汀和瑞舒伐他汀不同劑量降低LDL-C幅度

3、藥動學參數
兩藥人體內主要藥代動力學參數如表2。由于兩藥降脂作用強,半衰期長,與其他多數他汀類藥物比,可在每天任意固定時間給藥。
表2 阿托伐他汀和瑞舒伐他汀主要藥動學參數對比

4、藥物相互作用
阿托伐他汀主要經CYP3A4酶代謝,與CYP3A4強抑制劑(克拉霉素、蛋白酶抑制劑、伊曲康唑、葡萄柚汁等)聯合用藥,可增加發生肌病的風險,需謹慎聯用。瑞舒伐他汀不經過CYP3A4酶系代謝,因此與經過該酶代謝的藥物無顯著相互作用。
5、肝腎功能不全患者
他汀類藥物禁用于活動性肝病、失代償性肝硬化及急性肝衰竭、不明原因肝酶持續升高和任何原因導致血清肝酶升高超過3倍正常上限的患者,阿托伐他汀和瑞舒伐他汀也不例外。
腎臟疾病時,阿托伐他汀的血漿藥物濃度和降脂效果均不受影響,所以無需調整劑量。
瑞舒伐他汀在輕度和中度腎功能損害的患者無需調整劑量,而對于重度腎功能損害(肌酐清除率<30 ml/min)的患者應禁用本品。有研究表明,瑞舒伐他汀腎毒性與其磺酰胺基團及SLCO1B1基因密切相關,瑞舒伐他汀在亞洲人的血藥濃度與白人相比增加約2倍。
因此,兩藥孰優孰劣,需結合患者年齡、既往史、腎功能、合并用藥等情況綜合考慮選擇。
參考文獻:
1、杜海燕,林陽.他汀類藥物的研究進展與臨床應用評價[J].中國醫院用藥評價與分析,2011, 11(6).
2、李丹丹,陶 濤.他汀類藥物化學結構和理化性質對其藥效及藥動學特性的影響[J].中國醫藥工業雜志,2012, 43(6).
3、中國成人血脂異常防治指南修訂聯合委員會.《中國成人血脂異常防治指南(2016 年修訂版)》,中華全科醫師雜志 2017,16(1 ).
4、血脂異常老年人使用他汀類藥物中國專家共識組.血脂異常老年人使用他汀類藥物中國專家共識[J].中華內科雜志,2015,54(5).
5、周永剛,藍曉紅,孫忠實.循證證據比較他汀類藥物的獲益與肌病相關風險的新進展[J].中國藥學雜志,2015,50(17).
6、中華人民共和國藥典 臨床用藥須知.化學藥和生物制品卷.2015年版/國家藥典委員會編.北京:人民衛生出版社.
這是一個特別罕見的病例,小女孩出生時...
雙手皮膚干燥、老化,接觸水后皮膚變白、脫皮,水干后...
來源:村醫導刊 □湖南省衛生計生委基層衛生處 王...
5月8日,發表在Cell子刊《Cell ...