
在臨床中發現甲鈷胺的用法上有靜脈滴注、靜脈注射、肌肉注射,使用頻率有一日1次、一日2次、每周3次等。近日,有讀者留言建議出一期甲鈷胺的使用方法。

基于此,本篇重點整理甲鈷胺注射液的使用方法以及為何如此使用,供各位參考。
甲鈷胺的結構和適應證
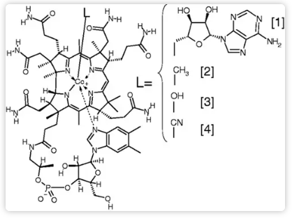
鈷胺(cobalamin)是一種由含鈷的卟啉類化合物構成的水溶性B族維生素。根據結構中鈷的β位連接不同的功能團而稱為不同的鈷胺素,與氰根相連叫氰鈷胺(維生素B12),與羥基相連叫羥鈷胺,與甲基相連叫甲鈷胺,與腺苷基相連就叫腺苷鈷胺。其中能被人體直接利用的只有甲鈷胺和腺苷鈷胺,其他鈷胺素需在細胞中轉化為這兩種形式。臨床中使用的維生素B12、甲鈷胺和腺苷鈷胺均屬于B族維生素成員,臨床適應證有差異。

圖1 維生素B12分子結構式
[1]為腺苷鈷胺;[2]為甲鈷胺;[3]為羥鈷胺;[4]為氰鈷胺
甲鈷胺易被神經細胞的亞微結構等攝取,促進神經細胞內核酸、蛋白質和神經髓鞘磷脂的合成,促進軸漿轉運和軸突再生,加速突觸傳遞的恢復和腦內乙酞膽堿含量的正常化,因此甲鈷胺主要用于糖尿病引起的周圍神經病及因缺乏維生素B12引起的巨幼紅細胞性貧血的治療。
甲鈷胺注射液的用法
1、周圍神經病:通常成人一次0.5mg,一日一次,一周3次,肌肉注射或者靜脈注射。
2、巨紅細胞性貧血:通常成人一次0.5mg,一日一次,一周3次,肌肉注射或者靜脈注射。給藥約兩個月后,作為維持治療每隔1-3個月可給予一次0.5mg。
甲鈷胺注射液使用中的注意事項
甲鈷胺見光易分解,其包裝有避光保護袋,使用時開封后要立即使用。
因此甲鈷胺注射液不通過靜脈配置中心統一調配,而由臨床科室采用該藥原液肌內注射或靜脈注射給藥,以減少藥品與光線的接觸。
肌注的時候應避免同一部位反復注射,避免在瘢痕、硬結、發炎處注射,如有劇痛、血液逆流的情況,應立即拔出針頭,換部位注射。避開神經分布密集的部位。
臨床答疑
1、甲鈷胺注射液一天一次使用合理嗎?
甲鈷胺注射液肌注半衰期為29小時,在上市前的臨床試驗中證實該藥500ug在連續注射使用過程中,每次給藥前血清中總B12濃度隨著給藥天數的增加而不斷上升。給藥兩天后與初次給藥后24小時值(3.9土1.2ng/ml)相比約達1.4倍(5.3±1.8ng/ml),給藥三天后則達約1.7倍(6.8±1.5ng/ml),該濃度一直持續到最后給藥。
也就是連續給藥并不能無限制增加血藥濃度,同時甲鈷胺注射液已知的不良反應有血壓下降、呼吸困難;皮疹;頭痛、發燒感;出汗、肌內注射部位疼痛、硬結等。
雖然尚無證據證實大劑量使用甲鈷胺的危險性,但是不排除大劑量使用甲鈷胺注射液有增加其不良反應發生的可能,所以不建議臨床使用甲鈷胺注射液每日一次給藥,建議仍然按照說明書一周3次給藥。
2、甲鈷胺注射液能靜脈滴注嗎?
甲鈷胺注射液靜脈注射在給藥后3min達到血藥濃度峰值,肌內注射約1h達血藥濃度峰值[1]。且甲鈷胺注射液易水解和光解性加上氧氣的氧化作用,故說明書中并未推薦靜脈滴注的給藥方法。
研究表明,暴露于外環境時間過長的甲鈷胺不夠穩定且需要嚴格的避光[2,3]。隨著藥物部分成分的降解,其不良反應發生的概率也會隨之增加[4]。
雖然臨床存在靜脈滴注的經驗性用法,但不建議臨床超說明書用藥。甲鈷胺注射液避光靜脈滴注能否作為一種成熟的超說明書用藥方法應用于臨床,還有待結合藥品的藥動學、藥效學、不良反應等進一步研究。
總結:
1、甲鈷胺注射液按照說明書應該一周3次使用,臨床中一日1次的使用方法不合理。
2、使用方法靜脈注射和肌注,靜脈滴注未在說明書中提及,若使用即為超說明書用藥。
3、見光易分解,開封后立即使用。
參考資料:
[1]甲鈷胺注射液說明書.
[2]夏軍龍,王毅剛,王景景,et al.臨床靜脈滴注過程對注射用甲鈷胺濃度的影響[J].中國藥師,2013,16(011):1746-1748.
[3]李菊,劉軍旗.甲鈷胺注射液的光穩定研究及其對臨床用藥的指導意義[J].黑龍江醫藥,2006,19(2):127-127.
[4]曹原,司繼剛.甲鈷胺注射液的臨床使用和管理[J].兒科藥學雜志,2017(06):62-64.
這是一個特別罕見的病例,小女孩出生時...
雙手皮膚干燥、老化,接觸水后皮膚變白、脫皮,水干后...
來源:村醫導刊 □湖南省衛生計生委基層衛生處 王...
5月8日,發表在Cell子刊《Cell ...